Quelle: Pixabay / Jörn Heller
Die Erneuerbaren-Lobby zeichnet gerne das Bild eines armen David, der gegen die Übermacht der reichen Konventionellen-Lobbys ankämpfen muss. Die Realität sieht anders aus.
2023 hat eine wohl einmalige Kampagne in der bundesdeutschen Wirtschaftsgeschichte stattgefunden: Die Nichtregierungsorganisation (NGO) Lobbycontrol hat in Zusammenarbeit mit der Bürgerbewegung Campact Stadtwerke aufgefordert, aus der Lobbygruppe „Zukunft Gas“ auszutreten (wir berichteten mehrmals). Ob durch die Kampagne oder unabhängig davon − bis November hatte „Zukunft Gas“ 27
Mitglieds-Stadtwerke weniger und war unter 100
Mitglieder gerutscht.
Energie & Management nimmt diesen Vorgang in seiner am 8.
Januar erscheinenden gedruckten Ausgabe zum Anlass, um das auch von Lobbycontrol, Campact oder Erneuerbaren-Verbänden mitunter gezeichnete Bild zu prüfen, man wehre sich nur gegen die finanzielle Übermacht konventioneller Lobbys.
E&M durchforstete das Lobbyregister des Bundestages und fragte Lobbycontrol sowie „Zukunft Gas“.
Unternehmen, Verbände, NGO, Wissenschaftler und Auftragslobbyisten müssen im Register über ihr Budget für „Interessenvertretung“, die Zahl der insoweit Beschäftigten sowie die Namen der nur mit „Interessenvertretung“ beauftragten Personen Auskunft geben. Knapp 2.000 Körperschaften, also fast ein Drittel, gibt dabei Interessen in Energiepolitik an.
 |
Die Lobbyismus-Ausgabenführer im Energiebereich laut Lobbyregister des Bundestages (letztes verfügbares Geschäftsjahr 2022) - Zur Vollansicht bitte auf die Grafik klicken - Quelle: E&M |
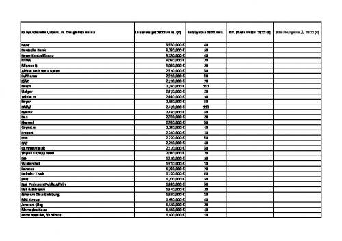
Das Lobby-Ranking der größten Energie-UnternehmenUnter den konventionellen Unternehmen gab der größte deutsche Energieverbraucher, BASF, nach den jüngsten dort verzeichneten Zahlen 2022 mit knapp 4
Millionen Euro am meisten für Lobbyarbeit aus. Und der Versorger mit den dicksten Taschen für Interessenvertretung war zeitgleich auf Platz vier im Energiebereich EnBW (gut 3
Millionen Euro), gefolgt von RWE auf Rang acht (2,75
Millionen) und von Uniper, alle kapitalmarktnah und alle auch mit Gasinteressen. Unter den rein grünen Energieversorgern dagegen hat nur ein einziger ein Millionenbudget: Orsted.
 |
Konventionelle Unternehmen mit Energie-Interessen und ihrem gesamten Lobbyismus-Aufwand 2022 laut Lobbyregister des Bundestages - Zur Vollansicht bitte auf die Grafik klicken - Quelle: E&M |
 |
100 Prozent klimaneutrale Unternehmen mit ihrem Lobbyismus-Aufwand 2022 laut Lobbyregister des Bundestages - Zur Vollansicht bitte auf die Grafik klicken - Quelle: E&M |
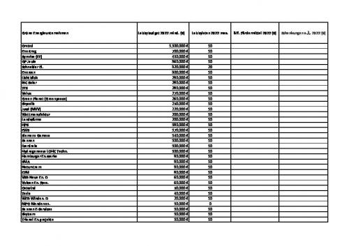
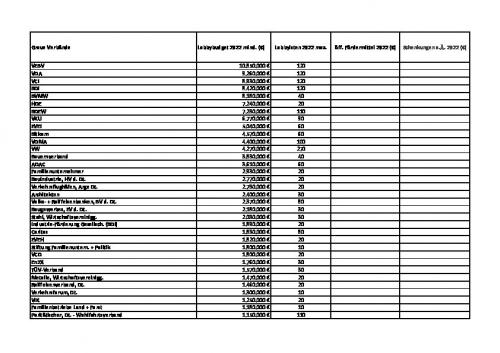
Energieverbände: An erster Stelle der BDEWNoch krasser scheint das Ungleichgewicht bei den Energieverbänden auszusehen: An erster Stelle steht der BDEW (7,2 Millionen Euro und 58 hauptamtliche Lobbyisten), gefolgt vom VKU (6,8 Millionen Euro, 53
Repräsentanten) und vom Industriekraftwerks-Verband VIK (1,2
Millionen Euro). Da kommen die lobbymäßig reichsten grünen Verbände − die Waldbesitzer und der Fachverband Biogas − kaum über die Million hinaus, der Bundesverband Windenergie verfehlt sie mit gut 900.000 Euro. Und der Dachverband beider, der Bundesverband Erneuerbare Energie (BEE), muss mit 540.000
Euro und neun Lobbyisten auskommen.
 |
Grüne Verbände, die für eine möglichst schnelle Versorgung mit 100 Prozent Erneuerbaren kämpfen (subjektive Einteilung durch E&M) mit ihrem Lobbyismus-Aufwand 2022 laut Lobbyregister des Bundestages - Zur Vollansicht bitte auf die Grafik klicken - Quelle: E&M |
Das Bild der stärkeren Wirtschaftsinteressen relativiert sich aber, wenn man im Energiebereich die Körperschaft mit dem höchsten Lobbybudget überhaupt betrachtet: den Bundesverband Verbraucherzentrale (VZBV), der 67 direkte Interessenvertreter angibt. Der VZBV äußert sich zumeist im Sinne der Erneuerbaren-Verbände oder sogar gemeinsam mit ihnen.
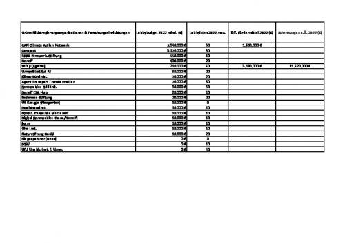
Grüne NGO haben mehr Lobby-Geld als graue NGODas kolportierte Bild dreht sich bei den NGO und den wissenschaftlichen Einrichtungen teilweise um: Den dicksten Lobbytitel unter den NGO hatte 2022 das „Climate Action Network“ (CAN), das für eine möglichst fixe 100-Prozent-Energiewende steht. Allein seinem Lobbybudget von 5,8
Millionen Euro standen 2022 Großspenden von 3,8
Millionen Euro gegenüber, vor allem von der European Climate Foundation (ECF). Und 1,6
Millionen Euro kamen von Staaten, und zwar ausdrücklich, „um unser Sekretariat zu unterhalten und für unsere Mission zu arbeiten, (...) den gefährlichen Klimawandel zu bekämpfen“. Das CAN ist eine von Regierungen subventionierte Nichtregierungsorganisation.
Zweitgrößter grüner NGO-Lobbyist war die immerhin auf eigenen finanziellen Füßen stehende Campact. Klimapolitisch geriert sie sich
im Sinne der Grünen und ihres Bundeswirtschaftsministers Robert Habeck.
Auf der grauen − will sagen: nicht der nationalen Energiewende verpflichteten − Seite der NGO und Forscher ist am wohlhabendsten der Wirtschaftsrat der CDU e.V. und auf Rang drei die Initiative Neue Soziale Marktwirtschaft (INSM) von Gesamtmetall − zwischendrin ist aber die Akademie der Wissenschaften Leopoldina, die in energiepolitischen Angelegenheiten eher Habeck stützt.
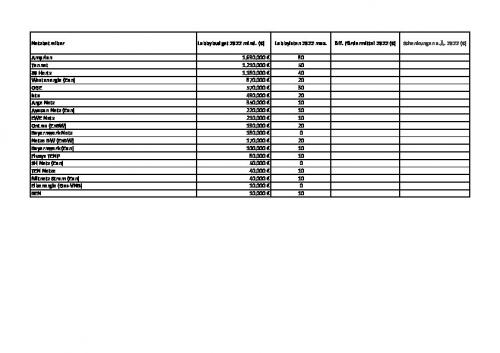
Und die Übertragungsnetzbetreiber leiten ebenfalls konventionellen Strom durch, äußern sich aber durchweg im Sinne von Habecks Energiepolitik - mit einem stattlichen Lobbybudget.
In der aktuellen Ausgabe von
Energie & Management, die am 8. Januar erscheint, gibt
E&M zudem anhand personeller Beispiele in der aktuellen Bundesregierung eine Einschätzung, inwieweit Lobbygelder tatsächlich Einfluss bedeuten.
 |
Konventionelle Nichtregierungs- (NGO) und Forschungsorganisationen mit ihrem Lobbyismus-Aufwand 2022 laut Lobbyregister des Bundestages - Zur Vollansicht bitte auf die Grafik klicken - Quelle: E&M |
 |
Grüne Nichtregierungs- (NGO) und Forschungsorganisationen mit ihrem Lobbyismus-Aufwand 2022 laut Lobbyregister des Bundestages. Forschungs- und Spendengelder exemplarisch - Zur Vollansicht bitte auf die Grafik klicken - Quelle: E&M |
 |
Die deutschen Netzbetreiber mit dem größten Lobbyismus-Aufwand 2022 laut Lobbyregister des Bundestages - Zur Vollansicht bitte auf die Grafik klicken - Quelle: E&M |
Mittwoch, 3.01.2024, 14:56 Uhr
© 2026 Energie & Management GmbH